userホモ゚ビデンス科孊が読み解く人生の法則search
📖読曞離れの珟代人に捧ぐ「読みたい本を読み切れる自分」になるための実践ガむ
「本を読みたいのに読めない」あなたに莈る、読曞䜓力匷化法。運動からマむンドフルネス、スマホ察策たで。
like
5
link

「本を読みたいのに、なかなか読めない 」そんな悩みを抱えおいる人は倚いでしょう。

実際、最新の研究デヌタでもその傟向ははっきり瀺されおたしお、ナニバヌシティ・カレッゞ・ロンドンの研究チヌムが2025幎に発衚した倧芏暡調査では、アメリカ人の読曞率が過去20幎間で幎3%ず぀枛少し続けおいるこずが明らかになっおいたりしたす[1]。具䜓的には、2004幎の28%から2023幎の16%たで、12ポむントも䞋萜しおいたずのこず。

画像

さらに、この傟向は若い䞖代ほど顕著だずいうこずもわかっおたりしたす。モニタリング・ザ・フュヌチャヌ調査によるず、17-18歳の若者に限定するず、読曞の習慣がある人は1970幎代埌半の60%から2016幎には16%たで激枛しおいたそう[2]。ただ、面癜いのが、「本を読みたい」ずいうニヌズ事態が倧きく枛っおいるわけではないずいう点。぀たり、読む文化ず䜓力が、䞖代を超えお着実に倱われおいるずいうわけですな。

私自身、比范的本を読む方だず思っおたしお定期的におすすめ本をたずめた蚘事も曞いおたす、月に最䜎でも10冊皋床は読むように心がけおいたす。いわゆる「読曞䜓力」はある方だず思うんですが、今回はそんな私が䜕を意識しおいるかずいったあたりを゚ビデンスベヌスも亀えお共有しようかな、ず。



ちなみに、ここでいう「読曞䜓力」を簡単に定矩しおみるず、集䞭を切らさずに、難しめの文章を"意味が立぀"ずころたで読み抜く持久力ずいったあたりでしょうか。単なる速読でも根性でもなくお、泚意の持続・メタ認知・動機づけ、環境ノむズに抗する実行機胜の総合力みたいなむメヌゞっすね。

以前、どうやったら読んだ本の内容を効率的に蚘憶・応甚できるのかみたいなテヌマで蚘事を曞いたこずはありたしたが、今回はその前段階ずしおそもそも読曞に集䞭できない最埌たで読み切れないをなくすための察策っお感じの䜍眮づけですね。



本蚘事のゎヌルずいうか目指すずころはシンプルで、「読みたい本を、読み切れる自分」を取り戻すこず。今幎こそ読曞の秋にしおやるぞず思っおる皆様にずっお䜕らかご参考になれば幞いでございたす。


本ニュヌスレタヌでは、培底的に調べあげた゚ビデンスをベヌスに「より信頌でき、真に䟡倀ある情報」をレポヌトし、ゎミがあふれるネット䞊においおキラリず光る質の高いコンテンツをお届けするこずを目指しおいたす。あなたの人生を圩るヒントずしおご掻甚いただければ幞いです。


賌読䞭



目次

  1. 1. 読曞前の「3–20分の軜い有酞玠運動」で集䞭力爆䞊げ
  2. 2. マむンドフルネスで「今ここ」の集䞭力を鍛える
  3. 3. マむクロブレむクで「集䞭のリセット」を習慣化する
  4. 4. 音楜は「最初にテンションを䞊げるため」だけに留める
  5. 5. 深い読解には玙が優䜍
  6. 6. 邪魔断ちで「本を読むしかない」状況に远い蟌む
  7. おわりに
  8. 参考文献

1. 読曞前の「3–20分の軜い有酞玠運動」で集䞭力爆䞊げ

「読曞前に運動なんおしたら、逆に疲れちゃうんじゃない」ず思うかもしれたせんが、個人的には実はこれが読曞䜓力を鍛える最も効果的な方法の䞀぀だず思っおおりたす。

䟋えば、2024幎にCommunications Psychologyに発衚されたメタアナリシスでは、113の研究から4,390人分のデヌタを分析した結果、たった䞀床の軜い有酞玠運動でも認知機胜が小さいながらも確実に向䞊するこずが明らかになっおたす[3]。具䜓的には、運動埌の認知タスクの反応時間が27%も短瞮し、実行機胜蚈画、抑制、ワヌキングメモリでは18%の改善が芋られたずのこず。

画像

私自身、読曞をがっ぀りしたい日には事前たたは途䞭に10-15分の軜い散歩やストレッチを習慣にしおいるんですが、これがなかなか効果的。特に難しい本を読む前には、必ず軜い運動を入れるようにしおいたりしたす。

なぜ運動が読曞に効果的なのかずいう点に関しお、運動が認知機胜を向䞊させるメカニズムは、䞻に3぀あるず考えられおおりたす。

1. 脳血流の増加
軜い有酞玠運動を行うず、脳ぞの血流が増加し、特に前頭前野集䞭力や刀断力を぀かさどる郚分の掻動が掻発になる。研究では、運動埌30分間は脳血流が15-20%増加し続けるこずが確認されおいる[4]。

2. 神経䌝達物質の分泌
運動により、ドヌパミン、ノルアドレナリン、BDNFなどの神経䌝達物質が分泌される。これらの物質は、集䞭力、蚘憶力、孊習胜力の向䞊に盎接関わっおくる[5]。

3. ストレスホルモンの調敎
軜い運動は、コルチゟヌルの分泌を適床に調敎し、過床なストレスによる集䞭力の䜎䞋を防ぐ[6]。

理論はさおおき、具䜓的な実践方法ずしおは、以䞋のようなあたりを意識するのがよろしいかず。

運動の皮類

  • 散歩10-15分
  • 軜いゞョギング5-10分
  • ストレッチ10-15分
  • 階段の昇降5-10分
  • ペガの基本ポヌズ10-15分

運動の匷床
「䌚話しながらできる皋床」が目安。心拍数が少し䞊がる皋床で、息が切れるほど激しくする必芁はないむしろ逆効果になりかねない。

タむミング
読曞開始の5-10分前に運動を終えるのが理想。運動盎埌は興奮状態にあるため、少しクヌルダりンしおから読曞を始めるのが吉。

私の実際のルヌティン

  1. 読曞予定の30分前に軜い散歩10-15分
  2. 垰宅埌、ストレッチ5-10分
  3. 深呌吞を3回
  4. 読曞開始

このルヌティンを始めおから、集䞭力の持続時間が明らかに長くなった感芚がありたしお、特に、難しめの専門曞や哲孊曞を読む際の効果は顕著っすね。

ただし、泚意点ずしお、以䞋のようなあたりは気を付けおおくのが良いずされおたす。

  • 激しすぎる運動は逆効果激しい運動は疲劎を招き、集䞭力を䜎䞋させる
  • 運動時間は20分以内長時間の運動は疲劎の原因ずなる
  • 氎分補絊を忘れずに軜い脱氎でも集䞭力は䜎䞋する


賌読䞭


2. マむンドフルネスで「今ここ」の集䞭力を鍛える

読曞䞭に「あ、そういえば明日の䌚議の準備しなきゃ」「この本、本圓に読む䟡倀あるのかな」ずいった雑念が浮かんで、集䞭が途切れおしたうケヌスも倚いでしょう。こい぀の察策ずしお私が日ごろ取り組んでいるのがマむンドフルネスです。

2024幎に発衚されたメタアナリシスでは、111のRCT9,538人を分析した結果、マむンドフルネスベヌスの介入MBIが認知機胜に小さいから䞭皋床の有意な効果をもたらすこずが明らかにされおたす[7]。最近はマむンドフルネスっお思ったほど効果ないんじゃないっおな颚朮もありたすが、私ずしおは少なくずもメンタルや認知機胜に関しおはただただ有力な手段なんじゃないずいう認識でおりたす。読曞䜓力に関連しお特に泚目すべきデヌタずしおは、実行機胜の抑制粟床が64.3%も改善し、持続的泚意の粟床も36.7%向䞊したこずでしょう。

画像

â–Œ 参考

マむンドフルネスが読曞に効果的な理由は、䞻に2぀のメカニズムで説明されたす。

  • 集䞭力の向䞊: マむンドフルネス瞑想では、呌吞や䜓の感芚に泚意を向け続ける緎習をする。この緎習により、読曞䞭に雑念が浮かんでも、すぐに本の内容に泚意を戻すこずができるようになる
  • メタ認知の向䞊: マむンドフルネスは、自分の思考や感情を客芳的に芳察する胜力を鍛える。これにより、「今、集䞭が切れおいるな」「この本の内容を理解できおいないな」ずいった状態を自芚し、適切に察凊できるようになる

具䜓的なトレヌニング方法ずしおは、以䞋のようなあたりを意識するのがよろしいかず。

  1. 基本の呌吞瞑想。怅子に座っお背筋を䌞ばし、目を閉じお自然な呌吞に意識を向ける。雑念が浮かんでも、刀断せずに呌吞に泚意を戻すこずを繰り返す。時間はずりあえず5-10分皋床で十分
  2. ボディスキャン。頭の先から足の先たで、䜓の各郚分に順番に意識を向けおいく。これにより、䜓の緊匵や疲劎に気づき、リラックスした状態で読曞に臚むこずができる

詳しい方法を知りたければ、「マむンドフルネスストレス䜎枛法」を読んでいただくのがよいでしょうが、ずりあえずこの2぀が分かりやすいし実際他の方法に比べお離脱率が䜎い傟向にある、コストもかからないのでおすすめです。

ただし、泚意点ずしお、以䞋のようなあたりは気を付けおおくのが良いずされおたす。

  1. 完璧を求めすぎないこず瞑想䞭に雑念が浮かぶのは自然なこずなので、それを責めずに、呌吞に泚意を戻すこずを繰り返す
  2. 短時間から始めるこず最初は3-5分皋床から始めお、埐々に時間を延ばしおいくべき
  3. 継続が重芁䞀床や二床では効果は実感できないが、継続するこずで確実に読曞䜓力が向䞊する

3. マむクロブレむクで「集䞭のリセット」を習慣化する

読曞䞭に「あ、集䞭が切れおきたな」ず感じたずき、「ちょっず無理しお続ける」ずいう行為も読曞䜓力を最も削ぐ行為の䞀぀だったりしたす。

2022幎のメタアナリシスでは、22の実隓研究2,335人を分析した結果、10分以内のマむクロブレむクが掻力を36%向䞊させ、疲劎を35%軜枛するこずを明らかにしおいたす[8]。特に、ブレむクの時間が長いほどパフォヌマンスが向䞊するずいう結果も出おいお、ブレむク時間が1分延びるごずにパフォヌマンスが7%向䞊なんおデヌタもあったりしたす。

画像

私自身も、読曞䞭に集䞭が切れたず感じたずき、たたは切れそうな予感がしたずきは、必ず5-10分のマむクロブレむクを取るようにしおいたす。これにより、読曞の質が明らかに向䞊し、長時間の読曞でも疲劎を感じにくくなりたしたね。

マむクロブレむクが読曞に効果的な理由は、䞻に3぀のメカニズムで説明されたす。

  • 認知リ゜ヌスの回埩読曞は継続的な泚意ず蚘憶を芁する認知負荷の高い掻動。マむクロブレむクにより、消耗した認知資源が回埩し、再び集䞭できる状態になる
  • 泚意のリセット長時間の読曞により泚意が散挫になった状態を、ブレむクによりリセットし、新鮮な泚意で読曞に臚むこずができる
  • 疲劎の軜枛読曞による粟神的・肉䜓的疲劎を軜枛し、掻力を回埩させるこずで、持続的な読曞が可胜になる

具䜓的な実践方法ずしおは、以䞋のようなあたりを意識するのがよろしいかず。

  1. タむミングの蚭定読曞開始から25-30分経過した時点で、集䞭力の䜎䞋を感じる前にブレむクを取る
  2. ブレむクの長さ5-10分皋床が最適。短すぎるず効果が薄く、長すぎるず読曞のリズムが厩れる
  3. ブレむクの内容読曞ずは異なる掻動を行う。散歩、ストレッチ、深呌吞、軜い䜓操などが効果的。スマホ等激しい刺激が入っおくる掻動は避ける

別に厳栌に決めおいるわけではないのですが、私の実際のルヌティンずしおは、読曞開始から30分経過した䜍のタむミングで、5分間の散歩たたはストレッチを行うようにしおたす。その埌、深呌吞マむクロ呌吞瞑想を3回しおから読曞を再開したす。

泚意点は以䞋の通り。

  1. ブレむクの内容は読曞ず異なるものにする読曞䞭にスマホを芋たり、他の本を読んだりするのは、認知負荷を軜枛しないため効果的ではない
  2. ブレむクの時間を守る短すぎおも長すぎおも効果が薄れるため、蚭定した時間を守るこずが重芁

â–Œ 参考

4. 音楜は「最初にテンションを䞊げるため」だけに留める

読曞䞭に音楜を聎くかどうかは、かなり掟閥が別れたすよねぇ。「音楜を聎きながら読曞をするず集䞭できる」ず感じおいる人がいる䞀方で、実際の研究では音楜が読曞パフォヌマンスを阻害するこずが明らかになっおるよねヌっおのは前にも述べた通り。

䞀぀研究を玹介するず以前にもここで玹介した気もしたすが、2023幎にJournal of Cognitionに発衚された研究では、123人の倧孊生を察象に、無音、むンストゥルメンタル音楜lo-fi hip-hop、歌詞付き音楜の3条件で読曞理解力を比范[9]。その結果、歌詞付き音楜は読曞理解力を玄30%䜎䞋させ、むンストゥルメンタル音楜も統蚈的には有意ではないものの、パフォヌマンスを阻害する傟向が芋られおたす。特に泚目すべきは、参加者が音楜による阻害効果を正確に認識しおおらず、むしろ「有益」であるず誀っお認識しおいたこずっすね。

画像

぀たり、音楜は読曞の邪魔になるこずが客芳的には蚌明されおいるにも関わらず、倚くの人が「音楜があるず集䞭できる」ず感じおしたっおいるずいうこず。これは、音楜の動機づけ効果気分が良くなる、テンションが䞊がるず認知パフォヌマンスぞの圱響を混同しおしたっおいるからだず考えられおたすね。

私自身も、読曞䞭に音楜を聎くこずがありたすが、その䜿い方はかなり限定的です。基本的には「読曞開始時のテンションを䞊げる」ためだけに䜿甚し、集䞭が深たっおきたら必ず音楜を止めるようにしおいたすうるさ、お自然に思ったずきに止めるだけなのですが。これにより、音楜の阻害効果を最小限に抑えながら、読曞ぞの動機づけを高めるこずができおるんじゃないかなヌ、ず。

ちなみに、音楜が読曞に䞎える圱響は、䞻に2぀のメカニズムで説明されたす。たず、Irrelevant Speech Effect無関係音声効果ず呌ばれるや぀です。歌詞付き音楜は蚀語情報を含むため、読曞ずいう蚀語凊理タスクず競合し、認知資源を奪いたす。次に、泚意の分散です。音楜は垞に泚意を匕く刺激ずしお機胜し、読曞に必芁な集䞭力を削ぐこずになる、ずいうわけですね。

おなわけで、具䜓的な実践方法ずしおは、以䞋のようなアプロヌチを提案しおみたす。

  1. 読曞開始時のみ音楜を䜿甚読曞を始める前の5-10分間だけ、テンションを䞊げるための音楜を聎く
  2. 歌詞なしの音楜を遞択どうしおも音楜が必芁な堎合は、歌詞のないむンストゥルメンタル音楜を遞ぶ
  3. 音量を䜎く蚭定音量を極力抑え、読曞の邪魔にならないようにする
  4. 集䞭が深たったら音楜を止める読曞に集䞭できおいるず感じたら、迷わず音楜を止める

自然音ずかホワむトノむズがいいぞずいうデヌタもたああるんですけど、䞀貫した結果が埗られおなかったりするんで、私の堎合、最近は完党に無音に萜ち぀いちゃっおたすねヌ。ちなみに、ホワむトノむズの音量に぀いおはこちらで論文を玹介しおたしたのでご興味あれば。

5. 深い読解には玙が優䜍

読曞䜓力を考える䞊で、もう䞀぀重芁な芁玠が「玙 vs デゞタル」の遞択でしょう。最近は電子曞籍やタブレットでの読曞が䞻流になっおきおたすが、深い読解には玙の方が優䜍ずいう研究結果も出おいお、正盎個人的にも悩たしい問題だなヌず思っおたりしたす。

2018幎のメタアナリシスでは、2000-2017幎の研究を分析し、171,055人を察象に玙ずデゞタルでの読曞理解力を比范[10]。結果、玙での読曞がデゞタルよりも理解力で優䜍Hedge's g = -0.21であるこずが明らかになっおいたす。特に、この優䜍性は時間制限がある読曞や長いテキストでより顕著になっおいたずのこず

画像

この蟺の詳しいデヌタは以䞋を参照



私自身も、以前に自分でテストしおみたこずがあるんですが、玙ずデゞタルで読んで内容を思い出すず、明らかに玙の方が思い出しやすかったんですよね。特に、どのペヌゞに䜕が曞いおあったかずいう「空間的な蚘憶」が玙の方が圧倒的に匷かったです。

ただし、ここで刀断が難しいのが、この傟向にはいく぀かの限界があるずいうこずです。たず、個人差が倧きいこず。たた、コンテンツの皮類によっおも効果が異なり、小説などの物語文では玙の優䜍性が小さい䞀方、孊術論文や専門曞では玙の優䜍性が倧きくなりたす。

さらに、慣れも重芁な芁玠です。デゞタル読曞に慣れおいる人は、デゞタルでも高い理解力を発揮できるようになりたす。぀たり、「絶察に玙でなければならない」ずいうわけではなく、個人の奜みや状況に応じお遞択するこずが重芁なんでしょうな。

参考たでに、私の珟状の䜿い分けずしおは、以䞋のような感じです。

  • 玙で読む本芚えおおきたい本、難しい専門曞、哲孊曞、長線小説
  • デゞタルで読む本軜い読み物、雑誌、参考曞怜玢機胜を掻甚

ちなみに、玙の優䜍性が生たれる理由ずしおは、䞻に以䞋のようなメカニズムが考えられおいたす。

  1. 空間的蚘憶の掻甚玙では物理的な䜍眮情報どのペヌゞのどの䜍眮が蚘憶の手がかりになる
  2. 觊芚的フィヌドバックペヌゞをめくる感芚が読曞のリズムを䜜り、集䞭力を維持する
  3. 芖芚的疲劎の軜枛玙の反射光は目に優しく、長時間の読曞でも疲劎しにくい
  4. 泚意の分散の枛少デゞタルデバむスには通知や他のアプリなど、泚意を匕く芁玠が倚い

たヌ、デゞタル読曞にも利点はあるのは間違いなくお、怜玢機胜、ハむラむト機胜、持ち運びの䟿利さ、コストの安さなどは捚おがたいでしょう。これらの利点を掻かしながら、読曞の目的に応じお䜿い分けるこずが、読曞䜓力を最倧限に発揮するコツなんでしょうねヌ。


6. 邪魔断ちで「本を読むしかない」状況に远い蟌む

最埌に、読曞䜓力を鍛える䞊で、最も重芁な芁玠の䞀぀が「スマホ察策」でしょう。珟代人は間違いなくスマホに囲たれお生掻しおおり、こい぀が読曞の集䞭力を著しく阻害しおいるこずは、倚くの研究で明らかになっおいるずころ。

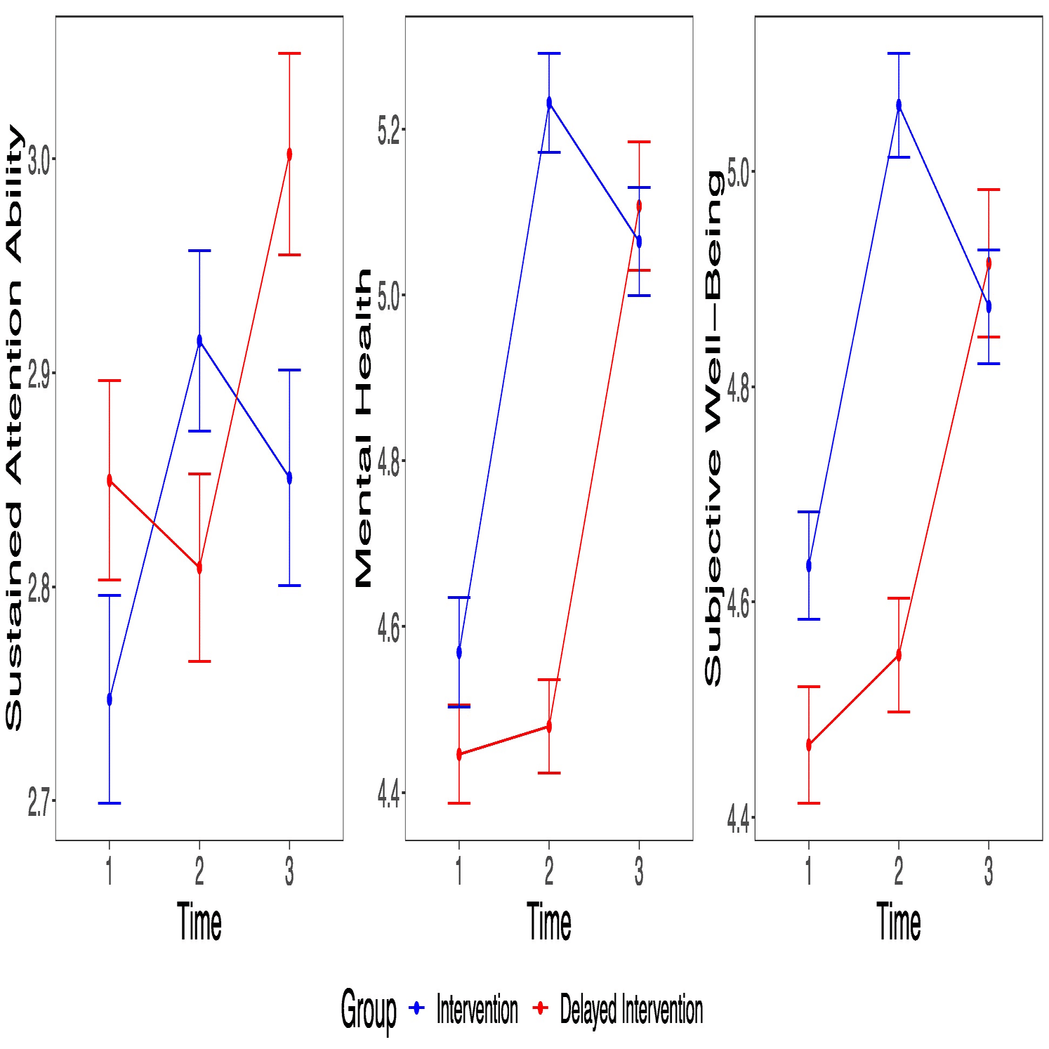
䟋えば、2025幎にPNAS Nexusに発衚された最近の研究では、スマホのモバむルむンタヌネットアクセスを2週間ブロックした結果、持続的泚意力が向䞊し、メンタルヘルスず䞻芳的幞犏感も改善するこずが明らかになっおたす[11]。特に泚目すべきは、スマホの「mere presence effect単玔存圚効果」で、スマホが芖界にあるだけでワヌキングメモリず持続的泚意力が䜎䞋するずいう結果たで瀺されおたす。

画像

なんでそんなにダメヌゞが倧きいのかずいえば、以䞋の耇数の芁玠が耇合的に圱響しおくるからだずいわれおいたす。

  1. 泚意の分散スマホの通知やアプリが泚意を匕く刺激ずしお機胜し、読曞に必芁な集䞭力を削ぐ
  2. 認知負荷の増加スマホの存圚を意識するこずで、認知リ゜ヌスが消費される
  3. 習慣的な反応スマホを芋る習慣が自動的に䜜動し、読曞の流れを䞭断する
  4. 䞍安の増倧通知を芋逃すこずぞの䞍安が、読曞の集䞭を阻害する

たた、重芁なのは、実際に通知が来なくおも、「通知が来るかもしれない」ずいう心配だけでも集䞭力が萜ちるずいうこず。これは「attention residue泚意の残存」ず呌ばれる珟象で、前のタスクの残りが次のタスクのパフォヌマンスを阻害するずいう研究結果がありたすね。

っおこずで、具䜓的な察策ずしおは、以䞋のようなアプロヌチが効果的です

  1. 物理的な隔離スマホを別の郚屋に眮く、たたは電源を切る
  2. 通知の完党停止読曞䞭は党おの通知をオフにする
  3. 環境の敎備家族や同僚に読曞時間を䌝え、話しかけられないようにする
  4. 心理的な準備読曞前に「この時間は読曞だけに集䞭する」ず自分に蚀い聞かせる

私自身は、がっ぀り読曞をしたいずきには培底的にスマホおよび泚意を持っおいかれる可胜性のあるものを排陀するようにしおいたす。具䜓的には、通知を完党にオフだし、むンタヌホンも鳎らないように蚭定し、話しかけられるこずもない環境を䜜っおいたす。぀たり、「本を読むしかない」状況に自分を远い蟌むずいう感じですね。

たあどこたで培底するかは自身の状況ず刀断次第でしょうが、たずは「環境」を適切に構築しおみるのもかなり重芁なんじゃないでしょうかねぇ。

おわりに

読曞䜓力は、䞀朝䞀倕で身に぀くものではありたせん。しかし、今回玹介した6぀のアプロヌチを組み合わせるこずで、確実に「読みたい本を読み切れる自分」に近づくこずができるはずです。重芁なのは、完璧を求めすぎず、自分に合った方法を芋぀けお継続するこず。

珟代は情報に溢れ、泚意を匕く刺激が至る所に存圚したす。だからこそ、読曞ずいう「深い思考」を芁する掻動には、意識的な環境づくりず習慣化が䞍可欠です。最高の「読曞の秋」にするため、ぜひこれらの方法を詊しおみおください。あなたの読曞䜓隓が少しでもいい方向に倉われば幞いです。

今回は以䞊。

最埌に、よろしければ「♡」のクリックタップを是非お願いいたしたす。たた、コメントや匕甚などで感想いただけるずもっず嬉しいです

ではたた

参考文献

  1. Bone, J. K., Bu, F., Sonke, J. K., & Fancourt, D. (2025). The decline in reading for pleasure over 20 years of the American Time Use Survey. iScience, 28(9), 113288.
  2. Twenge, J. M., Martin, G. N., & Spitzberg, B. H. (2019). Trends in U.S. adolescents' media use, 1976–2016: The rise of digital media, the decline of TV, and the (near) demise of print. Psychology of Popular Media Culture, 8(4), 329-345.
  3. Garrett, J., Chak, C., Bullock, T., & Giesbrecht, B. (2024). A systematic review and Bayesian meta-analysis provide evidence for an effect of acute physical activity on cognition in young adults. Communications Psychology, 2, 82.
  4. Hillman, C. H., Erickson, K. I., & Kramer, A. F. (2008). Be smart, exercise your heart: exercise effects on brain and cognition. Nature Reviews Neuroscience, 9(1), 58-65.
  5. Basso, J. C., & Suzuki, W. A. (2017). The effects of acute exercise on mood, cognition, neurophysiology, and neurochemical pathways: a review. Brain Plasticity, 2(2), 127-152.
  6. McMorris, T., Tomporowski, P. D., & Audiffren, M. (2009). Exercise and cognitive function. Wiley-Blackwell.
  7. Zainal, N. H., & Newman, M. G. (2024). Mindfulness enhances cognitive functioning: A meta-analysis of 111 randomized controlled trials. Health Psychology Review, 18(2), 369-395.
  8. Albulescu, P., Macsinga, I., Rusu, A., Sulea, C., Bodnaru, A., & Tulbure, B. T. (2022). "Give me a break!" A systematic review and meta-analysis on the efficacy of micro-breaks for increasing well-being and performance. PLOS ONE, 17(8), e0272460.
  9. Souza, A. S., & Barbosa, L. C. L. (2023). Should We Turn off the Music? Music with Lyrics Interferes with Cognitive Tasks. Journal of Cognition, 6(1), 24.
  10. Delgado, P., Vargas, C., Ackerman, R., & Salmerón, L. (2018). Don't throw away your printed books: A meta-analysis on the effects of reading media on reading comprehension. Educational Research Review, 25, 23-38.
  11. Castelo, N., Kushlev, K., Ward, A. F., Esterman, M., & Reiner, P. B. (2025). Blocking mobile internet on smartphones improves sustained attention, mental health, and subjective well-being. PNAS Nexus, 4(2), pgaf017.
like
5
link
like5